
Decoding Steel Billet Grades: A Technical Guide to 3SP, 5SP, and Q235B
In the global steel trade, the selection of the correct Steel Billet Grades is the single most important factor determining the quality, weldability, and mechanical integrity of the final rolled product. For manufacturers focusing on construction rebar (such as HRB400 or Gr. 60) and wire rods, the market often presents a choice between different national standards: the Russian/CIS GOST standards (3SP/5SP) and the Chinese GB/T standards (Q235B).
While these grades are often treated as interchangeable in high-level discussions, a technical dive into their chemical metallurgy reveals distinct differences. Understanding the nuances of Steel Billet Grades allows procurement managers to balance cost-efficiency with the specific mechanical requirements of their downstream rolling mills. Whether you are aiming for high-speed rolling or specialized structural applications, the chemistry is your roadmap.
Table of Contents
Understanding the Nomenclature: What do 3SP, 5SP, and Q235B Mean?
The naming conventions of various Steel Billet Grades tell a story about their production method and intended strength. In the GOST 380-2005 standard, the “SP” (Spokoynaya) suffix indicates “Killed Steel,” which is fully deoxidized during the smelting process.
Conversely, “PS” would indicate “Semi-killed” steel. This distinction is vital because deoxidation methods: Killed vs Semi-killed steel billets significantly affect the internal homogeneity of the billet. A killed steel billet (SP) is more uniform and contains fewer gas pockets, making it superior for critical structural use. Q235B, under the Chinese GB/T 700 standard, is a carbon structural steel where “Q” stands for Yield Strength and “235” represents the minimum yield point in Megapascals (MPa).
Chemical Composition: The DNA of the Billet
The Q235B chemical composition is characterized by its balance of carbon and manganese, designed for excellent weldability and moderate strength. However, when compared to the GOST grades, we see variations in the permissible limits of silicon and manganese.
Specifically, when evaluating 3SP vs 5SP steel billet options, the primary difference lies in the carbon and manganese content. 5SP typically contains higher carbon (0.28% to 0.37%) and higher manganese than 3SP. This shift in chemistry directly influences the carbon equivalent in billets, a critical metric for determining how the steel will behave during and after the cooling phase of the rolling process.
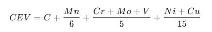
The Role of Carbon Equivalent (CEV) in Weldability
For civil engineering projects, the weldability of the finished rebar is non-negotiable. This is calculated using the carbon equivalent formula for steel billets, which takes into account not just carbon, but also manganese, chromium, silicon, and other alloying elements. The standard IIW (International Institute of Welding) formula is:

When comparing 3SP vs 5SP steel billet weldability, 3SP is generally superior. Because 3SP has a lower carbon equivalent, it is less prone to cold cracking in the heat-affected zone (HAZ) after welding. For projects requiring high-ductility rebar, maintaining a low CEV is a priority within the chosen Steel Billet Grades.
Mechanical Property Comparison: Strength vs. Ductility
The yield strength of Q235B vs 3SP steel is a common point of comparison for traders. Q235B is rated at a minimum of 235 MPa, while 3SP often exceeds this, depending on the specific heat treatment and cooling bed parameters of the mill.
5SP is the “heavy hitter” of the group. Due to its higher carbon content, it offers significantly higher tensile strength, making it one of the best steel billet grades for HRB400 rebar production. While 3SP can reach HRB400 levels with the addition of micro-alloys like Vanadium or Niobium, 5SP can often achieve the required strength through standard thermo-mechanical treatment (TMT).
Technical Specification Comparison Table
The following table provides a generalized comparison of the chemical and mechanical parameters for these three prominent Steel Billet Grades.
| Grade (Standard) | Carbon (C)% | Manganese (Mn)% | Silicon (Si)% | Min. Yield Strength | Primary Use Case |
| 3SP (GOST 380) | 0.14 – 0.22 | 0.40 – 0.65 | 0.15 – 0.30 | 245 MPa | Wire rods, Light rebar |
| 5SP (GOST 380) | 0.28 – 0.37 | 0.50 – 0.80 | 0.15 – 0.30 | 285 MPa | HRB400/500 Rebar |
| Q235B (GB/T 700) | 0.12 – 0.20 | 0.30 – 0.70 | $\le$ 0.30 | 235 MPa | Structural shapes, Rebar |
Note: Individual mill test certificates (MTC) should be verified for specific batch chemistry.
Hot Rolling Considerations and Temperature Control
The success of the downstream product depends heavily on the hot rolling temperature for 3SP and 5SP billets. Because 5SP has higher carbon, it is more sensitive to overheating, which can lead to grain coarsening.
Rolling mills must maintain an entry temperature of approximately 1050°C to 1150°C. If the temperature drops too low, the yield strength of Q235B vs 3SP steel products may become inconsistent due to incomplete phase transformation. Proper temperature management ensures that the metallurgical properties of the Steel Billet Grades are fully realized in the final rebar.
Finding the ASTM Equivalent for International Projects
In many Middle Eastern and American projects, engineers specify ASTM standards. Finding an ASTM equivalent for Q235B steel billet usually leads to ASTM A36 or ASTM A572 Grade 42, though they are not exact matches.
For the GOST grades, 3SP is often cross-referenced with ASTM A36 for general structural use. However, for rebar-specific applications, 5SP is frequently used to meet the requirements of ASTM A615 Grade 60. Understanding these cross-references is essential for international suppliers of Steel Billet Grades to ensure compliance with local building codes. You can find detailed standard comparisons through the World Steel Association (WorldSteel Standards).
Selecting the Best Grade for Your Downstream Product
Not all Steel Billet Grades are created equal for every machine.
- For Wire Rods: 3SP is the preferred choice. Its lower carbon content allows for easier drawing into thin gauges without frequent breakages.
- For High-Strength Rebar: 5SP is the industry standard for producing HRB400 and HRB500. It provides the “backbone” necessary for high-rise construction.
- For General Construction: Q235B offers the best balance of cost and performance for light structural profiles and standard grade 280 rebar.
According to the British Standards Institution (BSI), the consistency of the chemical composition is as important as the grade itself (BSI Steel Standards). A supplier must provide consistent Steel Billet Grades to avoid recalibrating the rolling mill with every new shipment.
Quality Control: The MTC and Chemical Analysis
When purchasing Steel Billet Grades, the Mill Test Certificate (MTC) is your primary defense against sub-standard material. A professional MTC must list the results of the ladle analysis, covering all elements mentioned in the Q235B chemical composition or GOST requirements.
Furthermore, buyers should look for the “Al” (Aluminum) content to verify the deoxidation level. In killed steel (SP grades), the aluminum helps in grain refinement. According to ASTM International, grain size control is a secondary but vital factor in the fracture toughness of the steel.
Future Trends: Decarbonization and Grade Consistency
As we look toward 2026, the manufacturing of various Steel Billet Grades is shifting toward Electric Arc Furnace (EAF) production to reduce carbon emissions. This shift requires even tighter control over the carbon equivalent in billets because scrap-based steel can contain “tramp elements” like Copper (Cu) and Tin (Sn) which affect ductility.
Leading mills are now utilizing vacuum degassing to ensure that even EAF-produced Steel Billet Grades meet the high-purity requirements traditionally associated with Blast Furnace production. This ensures that the yield strength of Q235B vs 3SP steel remains stable regardless of the energy source used for melting.
Conclusion: Making the Right Choice
The world of Steel Billet Grades is defined by chemical precision and standard compliance. Whether you are navigating the Q235B chemical composition for a local infrastructure project or comparing 3SP vs 5SP steel billet for a massive rebar export contract, the data is your most powerful tool.
By calculating the carbon equivalent in billets and matching it to your mill’s cooling capabilities, you can ensure a high-quality finished product every time. In a market where margins are thin and safety is paramount, choosing the right Steel Billet Grades is the foundation upon which your industrial success is built.
FAQ
Can I use Q235B to produce HRB400 rebar?
Directly, no. Q235B’s carbon content is too low. You would need to add ferro-alloys during the rolling process (micro-alloying) to reach HRB400 strength levels. 5SP is a much better starting point.
What is the main difference in 3SP vs 5SP steel billet manganese content?
5SP generally has a higher manganese limit (up to 0.80% compared to 0.65% for 3SP), which enhances the hardness and tensile strength.
Why is “Killed Steel” preferred for rebar?
Fully deoxidized (Killed) Steel Billet Grades have a more uniform chemical distribution and fewer internal flaws, which prevents brittle failure in the finished rebar.
Is there a significant price difference between these grades?
Generally, 5SP carries a small premium over 3SP due to the higher carbon and manganese requirements, while Q235B is often the most cost-effective for general-purpose applications.






